Wednesday, July 18, 2018

TRUSS STRUCTURE

Calculate the diagonal distortion along BG due to the applied loads on the truss shown below (cross- sectional area A, E = 2 x 105 MPa) 2 2 +?????????





CALCULATE  THE FORCES IN THE MEMBER OF TRUSSES

0kN 8 KN 4 KN 1.5 m 2 m Determine the force in each member of the truss and state if it is in tension or compression. 3LN 2kN Determine the force in each member of the truss and state if it is in tension or compression. Hint: is solving for the reactions necessary?


 

CALCULATE  THE FORCES IN THE MEMBER OF TRUSSES

Problem 2: Use SAP2000 determine the force in each member of the truss. State if the members are in tension or compression. Assume all members are pin connected. Compare hand calculations with software results, print deflection, reaction, and axial force results L1 L1



 

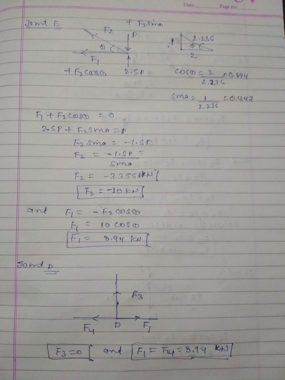
CALCULATE THE FORCES IN THE MEMBER OF TRUSS

Do not round intermediate calculations, however for display purposes report intermediate steps rounded to four significant figures. Give your final answer(s) to three significant figures. Determine the force in each member of the Warren bridge truss shown. State whether each member is in tension or compression. Express the magnitude of each force as a positive value. 18 ft 36 ft 36 ft 18 ft 24 ft A5 36C36E36m 5.5 kips 5.5 kips kips (select) AB


CALCULATE THE HORIZONTAL DISPLACEMENT OF JOINT B FOR THE TRUSS




CALCULATE THE FORCES IN THE MEMBER OF TRUSS


CALCULATE THE FORCES IN THE MEMBER OF TRUSS



CALCULATE THE FORCES IN THE MEMBER OF TRUSS USING METHOD OF SECTIONS


CALCULATE THE FORCES IN THE MEMBER OF TRUSS

4. Find forces in all the members of the truss. 4 4 12



CALCULATE  THE FORCES IN THE MEMBER OF TRUSSES



Consider the truss shown in 2 m 1.5 m 1.5 m V8 kN
media%2F6bd%2F6bdfe424-765b-48b9-aea2-ef














 




No comments:

Post a Comment