SFD AND BMD
SFD AND BMD
BMD AND SFD OF SIMPLY SUPPORTED OVERHANGING BEAM

SFD AND BMD
BMD AND SFD OF CANTILEVERED BEAM WHERE B IS HINGE
SFD AND BMD OF SS BEAM WITH MOMENT ON BEAM

BMD AND SFD OF BEAM
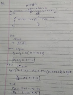
SFD AND BMD OF OVERHANGING BEAM WITH UDL
BMD AND SFD OF BEAM
BMD AND SFD OF BEAM
SFD FOR THE BEAM
DRAW AXIAL FORCE, SHEAR FORCE AND BENDING MOMENT DIAGRAM





































No comments:
Post a Comment